(1390) Abastumani

Txt de las observaciones de cada noche
giuliatna
Mensajes: 111
Registrado: Sab Feb 22, 2025 2:05 pm

(1390) Abastumani

Mensaje por giuliatna »

Informe 2025_12_26
Telescopio Reflector 1m código 303
Cámara CCD FLI PL4240
Adjuntos
1390_Abastumani_2025_12_26_303_G.Navas.jpg
1390_Abastumani_2025_12_26_303_G.Navas.jpg (64.12 KiB) Visto 348 veces
1390_Abastumani_2025_12_26_303_G.Navas.gif
1390_Abastumani_2025_12_26_303_G.Navas.gif (16.76 KiB) Visto 348 veces
1390_Abastumani_2025_12_26_303_G.Navas.txt
(3.96 KiB) Descargado 35 veces

giuliatna
Mensajes: 111
Registrado: Sab Feb 22, 2025 2:05 pm

Re: (1390) Abastumani

Mensaje por giuliatna »

Informe 2025_12_27
Telescopio Reflector 1m código 303
Cámara CCD FLI PL4240
Adjuntos
1390_Abastumani_2025_12_27_303_G.Navas.txt
(3.38 KiB) Descargado 34 veces
1390_Abastumani_2025_12_27_303_G.Navas.jpg
1390_Abastumani_2025_12_27_303_G.Navas.jpg (60.38 KiB) Visto 347 veces
1390_Abastumani_2025_12_27_303_G.Navas.gif
1390_Abastumani_2025_12_27_303_G.Navas.gif (16.64 KiB) Visto 347 veces

giuliatna
Mensajes: 111
Registrado: Sab Feb 22, 2025 2:05 pm

Re: (1390) Abastumani

Mensaje por giuliatna »

Informe 2025_12_29
Telescopio Reflector 1m código 303
Cámara CCD FLI PL4240
Adjuntos
1390_Abastumani_2025_12_29_303_G.Navas.txt
(2.6 KiB) Descargado 41 veces
1390_Abastumani_2025_12_29_303_G.Navas.jpg
1390_Abastumani_2025_12_29_303_G.Navas.jpg (190.7 KiB) Visto 338 veces
1390_Abastumani_2025_12_29_303_G.Navas.gif
1390_Abastumani_2025_12_29_303_G.Navas.gif (15.08 KiB) Visto 338 veces

alberto.garcia
Mensajes: 137
Registrado: Lun Abr 05, 2021 4:36 pm

Re: (1390) Abastumani

Mensaje por alberto.garcia »

Informe fotometria para el 1390 Abastumani de la noche del 19/01/2026.
Adjuntos
1390_Abastumani_2026_01_19_Z03_A.Garcia_fotometria.txt
(2.25 KiB) Descargado 35 veces
1390_Abastumani_2026_01_19_Z03_A.Garcia_curva.png
1390_Abastumani_2026_01_19_Z03_A.Garcia_curva.png (29.19 KiB) Visto 325 veces
1390_Abastumani_2026_01_19_Z03_A.Garcia_campo.png
1390_Abastumani_2026_01_19_Z03_A.Garcia_campo.png (463.51 KiB) Visto 325 veces

giuliatna
Mensajes: 111
Registrado: Sab Feb 22, 2025 2:05 pm

Re: (1390) Abastumani

Mensaje por giuliatna »

Informe 2026_01_17
Telescopio Reflector 1m código 303
Cámara CCD FLI PL4240
Adjuntos
1390_Abastumani_2026_01_17_303_G.Navas.txt
(3.57 KiB) Descargado 29 veces
1390_Abastumani_2026_01_17_303_G.Navas.jpg
1390_Abastumani_2026_01_17_303_G.Navas.jpg (355.25 KiB) Visto 283 veces
1390_Abastumani_2026_01_17_303_G.Navas.gif
1390_Abastumani_2026_01_17_303_G.Navas.gif (19.79 KiB) Visto 283 veces

giuliatna
Mensajes: 111
Registrado: Sab Feb 22, 2025 2:05 pm

Re: (1390) Abastumani

Mensaje por giuliatna »

Informe 2026_01_18
Telescopio Reflector 1m código 303
Cámara CCD FLI PL4240
Adjuntos
1390_Abastumani_2026_01_18_303_G.Navas.gif
1390_Abastumani_2026_01_18_303_G.Navas.gif (20.51 KiB) Visto 283 veces
1390_Abastumani_2026_01_18_303_G.Navas.txt
(3.04 KiB) Descargado 29 veces
1390_Abastumani_2026_01_18_303_G.Navas.jpg
1390_Abastumani_2026_01_18_303_G.Navas.jpg (350.73 KiB) Visto 283 veces

Avatar de Usuario
GerardTartalo
Mensajes: 203
Registrado: Jue Oct 10, 2024 6:36 pm
Ubicación: Àger, LLeida, España

Re: (1390) Abastumani

Mensaje por GerardTartalo »

Informe 2026_02_08
Refractor 115/800 F7
Cmos QHY 294 M Pro
Adjuntos
1390_Abastumani_2026_02_08_DEO_G.Tartalo.txt
(3.37 KiB) Descargado 25 veces
Curva_Abastumani.gif
Curva_Abastumani.gif (28.42 KiB) Visto 223 veces
FOV_Abastumani.jpg
FOV_Abastumani.jpg (1.01 MiB) Visto 223 veces
Dark Energy observatory, Àger, Spain
Ts Photoline triplet apo 115/800 F7 ------- Ritchey Chretien carbon 203/1088 F5.36
QHY 294M Pro + SHO-LRGB --------------- Player One Ares M Pro
Ioptron CEM70 + oag QHY 462C ---------- SW Neq6 + oag Touptek 462M

alberto.garcia
Mensajes: 137
Registrado: Lun Abr 05, 2021 4:36 pm

Re: (1390) Abastumani

Mensaje por alberto.garcia »

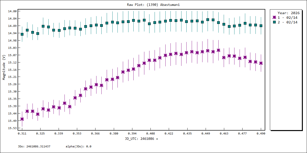
Informe del 1390 de la noche del 14/02. Algunas nubes altas
Adjuntos
1390_Abastumani_2026_02_14_Z03_A.Garcia_Curva2.png
1390_Abastumani_2026_02_14_Z03_A.Garcia_Curva2.png (36.96 KiB) Visto 180 veces
1390_Abastumani_2026_02_14_Z03_A.Garcia_Curva.png
1390_Abastumani_2026_02_14_Z03_A.Garcia_Curva.png (32.16 KiB) Visto 180 veces
1390_Abastumani_2026_02_14_Z03_A.Garcia_Campo.png
1390_Abastumani_2026_02_14_Z03_A.Garcia_Campo.png (473.38 KiB) Visto 180 veces
1390_Abastumani_2026_02_14_Z03_A.Garcia.txt
(1.4 KiB) Descargado 21 veces

Responder